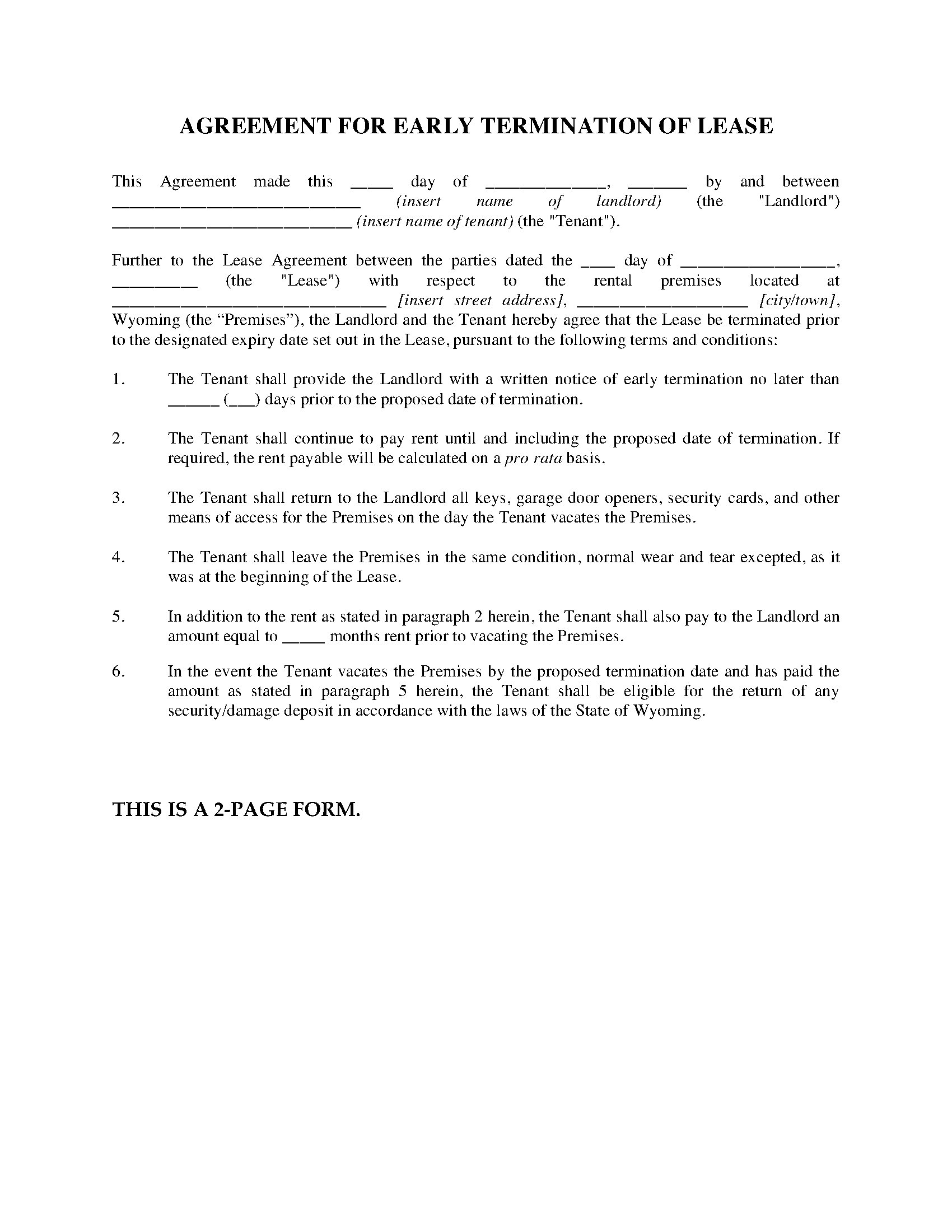
Wyoming Agreement to Terminate Lease Early

Cancel a tenant's lease before the end of the lease term with this Wyoming Agreement for Early Termination of Lease form.

  • This form is not for evictions. It can only be used when both the landlord and tenant agree to terminate the lease early.
  • This Agreement is for residential tenants only. A different form is required for commercial rental properties.
  • The tenant must still give the landlord written notice setting out the proposed termination date.
  • The tenant agrees to pay a lease buyout fee.
  • Fully editable and easy to customize to fit your circumstances.
  • Intended to be used only in the State of Wyoming.
Document Type: Microsoft Word
Last Updated: 20-December-2024
SKU: 2778
$6.29