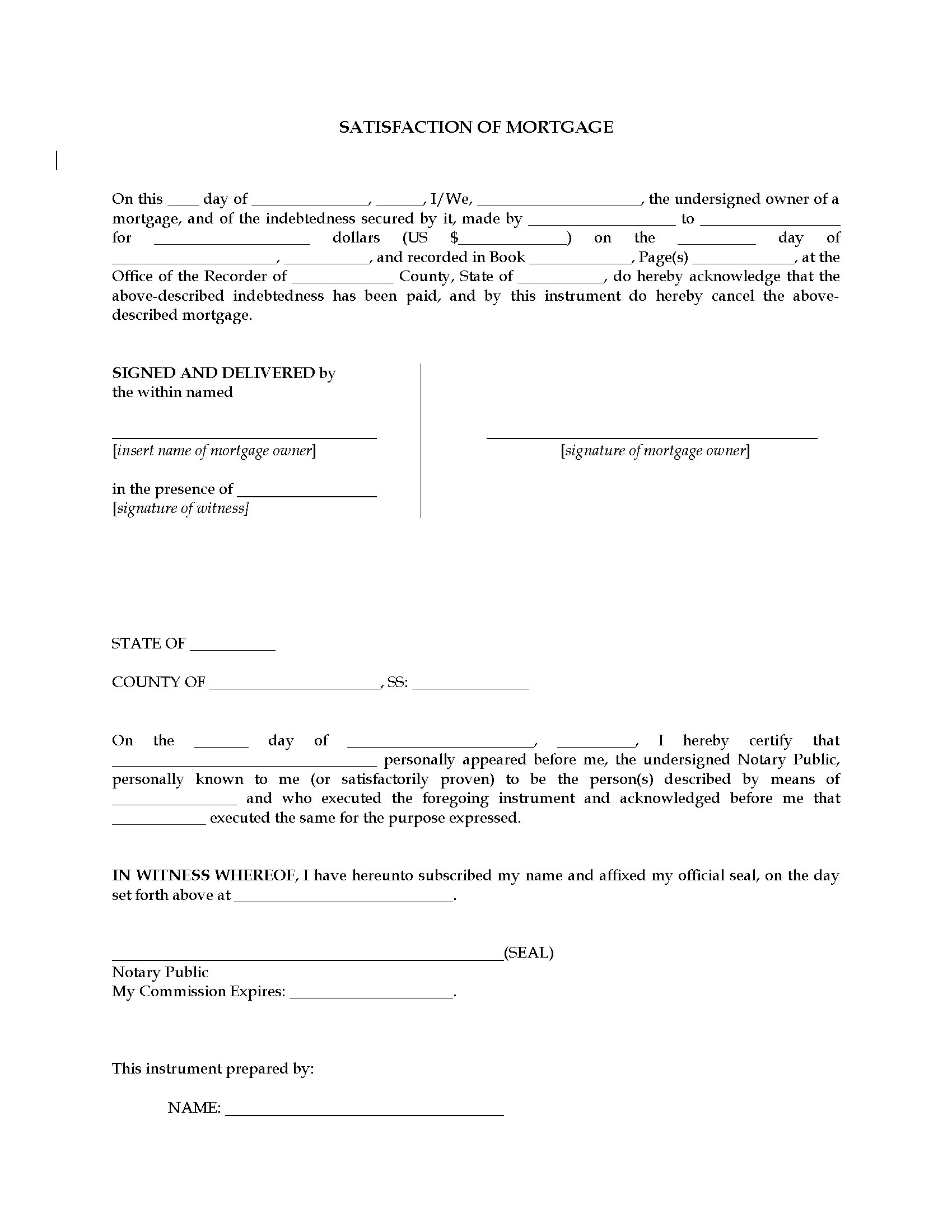
USA Satisfaction of Mortgage

USA property owners, record a Satisfaction of Mortgage with the county office when your mortgage has been paid in full.

  • The document states that the mortgage is satisfied and cancelled.
  • Filing a Satisfaction of Mortgage will discharge the mortgage from the title deed to your property.
  • Check with your mortgage lender - they may have a form that they require you to use.
This USA Satisfaction of Mortgage form is provided in MS Word format, and is easy to download, fill in and print.
Document Type: Microsoft Word
Last Updated: 14-April-2016
SKU: 7441
$0.00