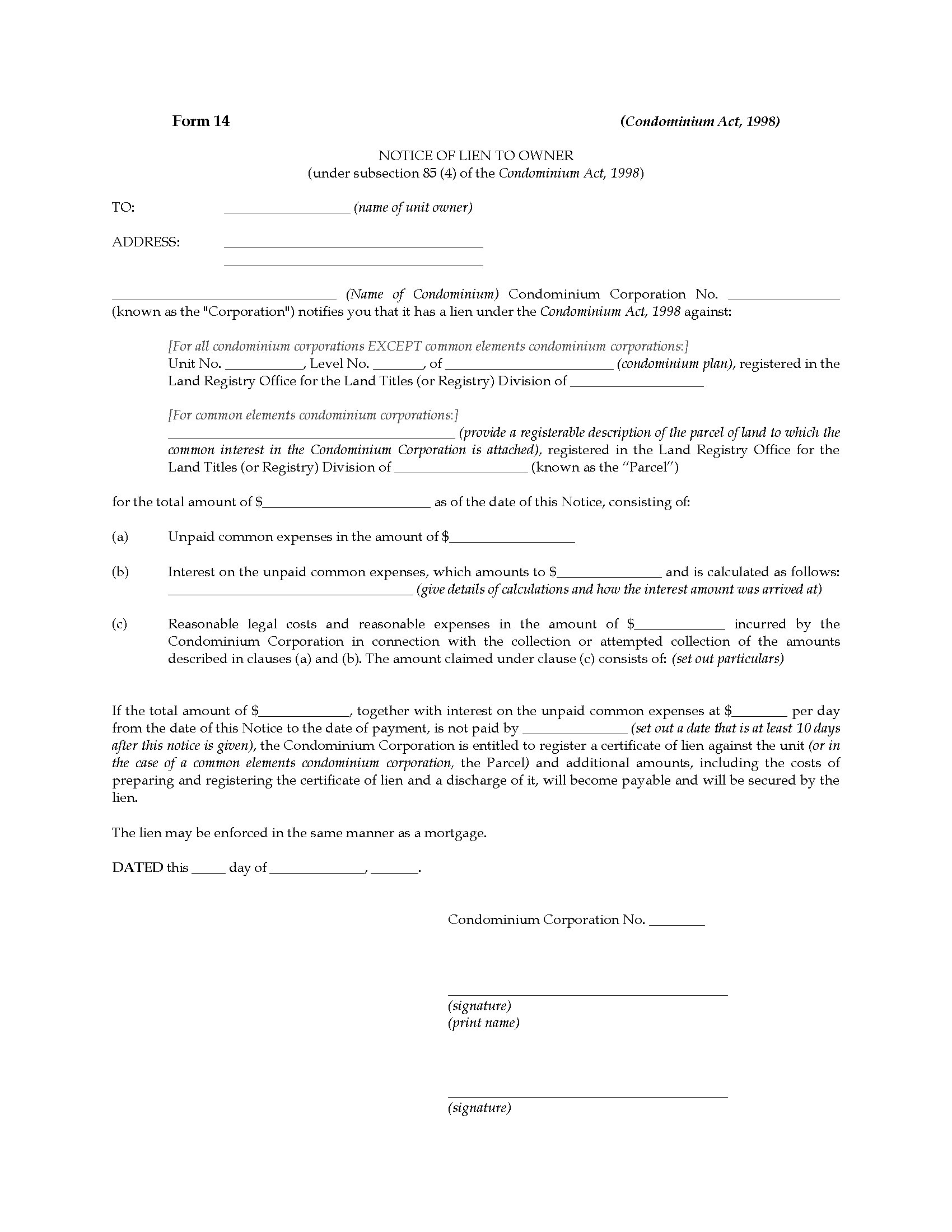
Ontario Notice of Lien to Condominium Owner

Give notice to a condominium owner that a lien is claimed against their unit for unpaid charges with this Form 14, Notice of Lien to Owner, under the Ontario Condominium Act 1998.

  • The Notice must be served on the unit owner in accordance with subsection 85(4) of the Act.
  • The condo corporation claims a lien for all unpaid common expenses, plus the costs of collection.
  • The lien may be enforced against the owner in the same manner as a mortgage.
  • This is a reusable legal form - buy, download, fill in, use the template as often as you require.
The Ontario Notice of Lien to Owner under Condominium Act form is downloadable and easy to use.
Document Type: Microsoft Word
Last Updated: 14-April-2016
SKU: 8989
$0.00