Customers who bought this item also bought
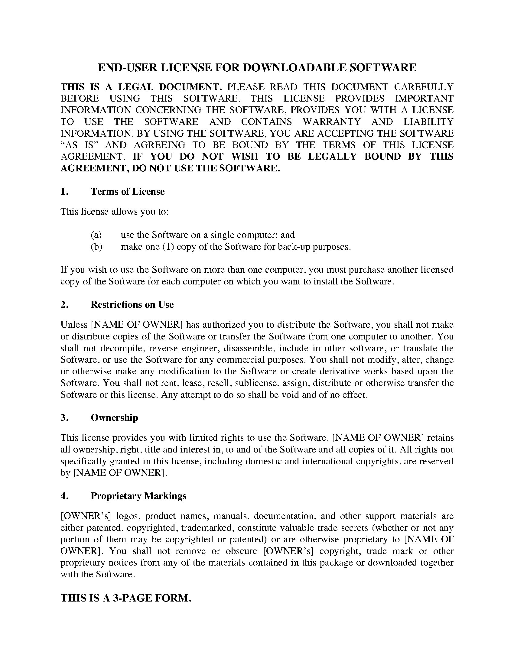
End User License Agreement | USA
License your software apps for use on single computers with this End User License Agreement (EULA) form for US based developers.
- An EULA is essential because it protects your rights as the author of the software.
- The software can only be installed on a single computer or device.
- Under the terms of the EULA, the end user is granted a license to use the software. The end user is not purchasing the app and does not become the owner of the software program.
- The license is governed by United States copyright laws.
- This End User License Agreement template is fully editable and easy to customize to fit your exact needs.
$4.99
Software Publishing Agreement
Prepare a Software Publishing Agreement between a publisher and a developer with this customizable contract template.
- The developer is defined as the author of the work.
- The developer grants the publisher exclusive worldwide rights to the software product and the right to register copyright and trade marks with respect to the product.
- The developer agrees to indemnify the publisher against any claims arising from any breach or misrepresentation by the developer.
- The developer is responsible for testing the software prior to publishing. The developer agrees to be available for 90 days after publication for support of the product.
- This Software Publishing Agreement is a generic legal form that can be used in most jurisdictions.
- Buy, download, and easily customize the template for each developer you work with.
$29.99
Acquisition Agreement for Co-Ownership Rights in Software
Acquire a co-ownership interest in software that is currently in development with this Acquisition Agreement for Co-Ownership Rights.
- The purchaser is investing funds to complete the development of the software, in exchange for receiving a co-ownership interest.
- The purchaser also obtains the patent rights to the software.
- The purchaser grants the developer a worldwide non-exclusive royalty-free license to use the patent rights.
- Each party retains its own rights to any subsequent modifications it makes to the software.
- The purchaser covenants not to compete with the software developer.
- This Acquisition Agreement for Co-Ownership Rights in Software does not include specific references to the laws of any country and can be used in most jurisdictions.
- The form is available as a downloadable MS Word template that can be easily modified to include any additional terms of your business arrangement.
$29.99
Sale Agreement for Software
Software developers, sell your ownership in a software program with this Sale Agreement template.
- The parties agree that this is a sale of the developer's interest in the software, and not a license for use.
- The sale includes the source code and all related documentation created by the developer.
- All title and rights in and to the software passes to the buyer upon completion of the transaction.
- The seller waives all intellectual property rights to the program, including moral rights.
- This Software Sale Agreement is provided in MS Word format and can be downloaded immediately after purchase.
- This is a generic legal contract consisting of two pages. It does not contain references to specific laws and can be used in most jurisdictions.
$9.99
Letter of Intent for Software Development Partnership
Negotiate the terms of a formal agreement to set up a strategic partnership to develop new software titles with this Letter of Intent template.
- Key discussion points between the parties include ownership of the final software products; confidentiality; each partner's responsibilities with respect to developing, marketing and advertising of the products; and revenue splitting.
- The letter of intent is not intended to be legally binding upon the parties except to the extent of the discussions between them.
- This is a generic template which is not country specific and can be used anywhere.
- Available in MS Word format and fully editable.
$11.99
