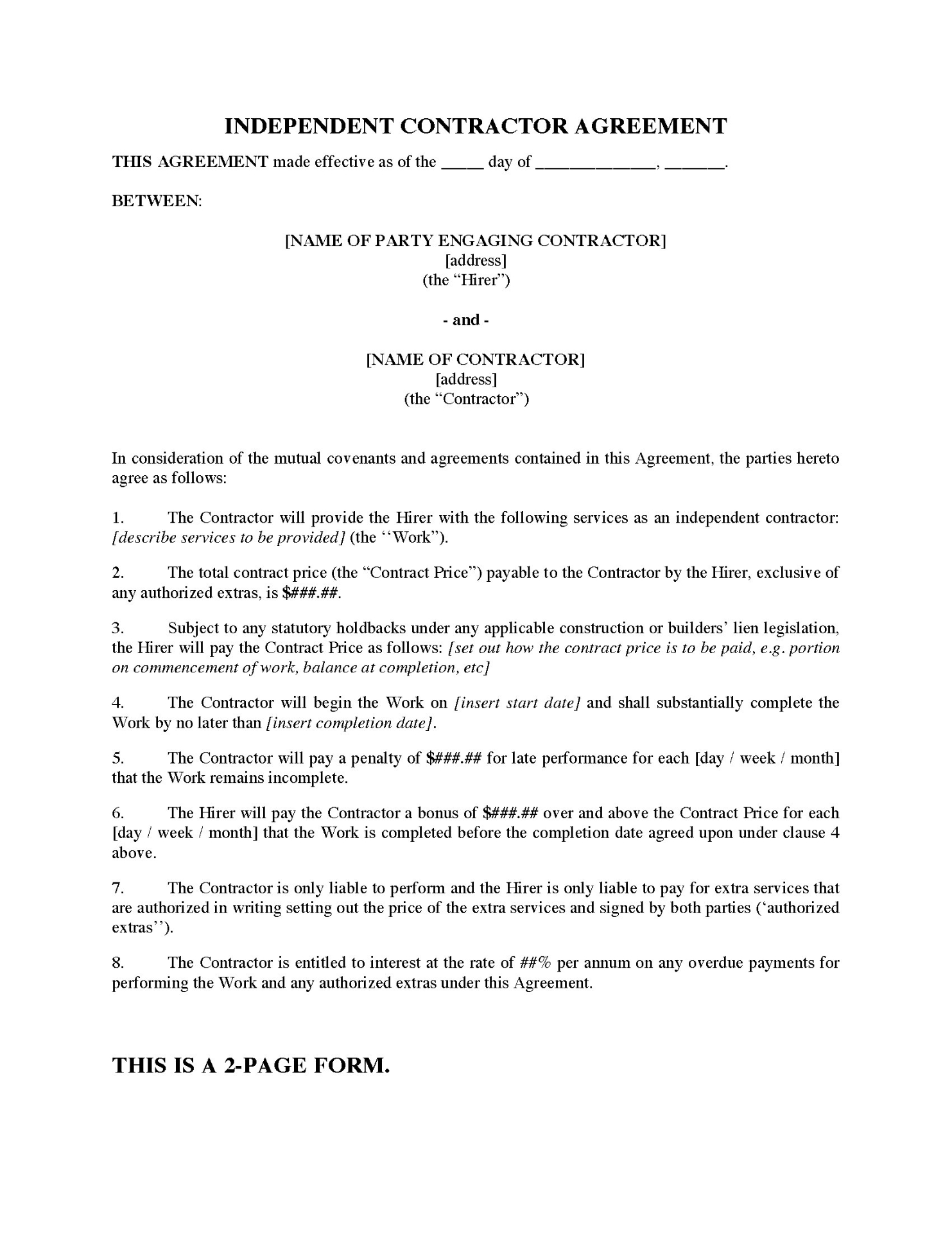
Ontario Renovation Contract
Ontario contractors, write up a Renovation Contract for a home owner with this easy-to-use template form.
Responsibilities of the Parties to the Contract
The contractor agrees to provide all required materials, labour and equipment necessary to complete the renovation. The home owner is responsible for arranging utilities, toilets, parking and access to the work site.
Key Features of Agreement
The contract template includes standard provisions, such as:
- Contract Price. Payment of the contract price, less required holdback under the Ontario Construction Lien Act, will be made in several payments, with the balance due on completion.
- Change Orders. A signed change order is required for any alterations to the work specified.
- Site Safety. The contractor is responsible for cleanup and for job site safety.
Contractor Warranty
The contractor provides a 1-year warranty of the materials and workmanship and agrees to correct any defects of which it is notified in writing during the warranty period.
Insurance and Compliance Matters
The contractor is responsible for maintaining adequate insurance, and for complying with the requirements of the Workers Compensation Act.
Format and Jurisdiction
The Renovation Contract template is available in MS Word format and is fully customizable. Once purchased, you can use it as often as you require. The document is intended to be used only in the Province of Ontario, Canada.
Fixed Price Construction Contract with Warranty | Canada
Canadian contractors, use this template to prepare a Fixed Price Construction Contract with Warranty for Canada.
- The contract includes a warranty by the contractor on materials and labour used in the construction.
- The contractor is responsible for Workers Compensation, public liability and property damage insurance, and all perils insurance, and indemnifies the owner against claims arising as a result of the contractor's operations.
- Changes to the work which are not included in the Construction Contract will be on the basis of either (i) a stipulated sum or (ii) actual cost plus a percentage.
- Disputes will be submitted first to the architect, and failing settlement, to arbitration.
- The contract is available as a fully customizable MS Word document.
- Intended to be used only in Canada.
Contract Change Order
Prepare a Contract Change Order for changes under a construction or renovation contract with this easy-to-use template form.
- The Change Order form must be signed by both the owner and the contractor, and the owner may require the contractor's surety (if any) to approve the changes as well.
- The changes can include additions, amendments or deletions to the scope of the work, materials, extras, etc., and corresponding adjustments to the contract price.
- The completion date can also be amended to accommodate the changes.
- The Change Order form can be used by general contractors and subtrades alike.
- This is a generic form that can be used anywhere.
Construction Contractor Agreement | Canada
Prepare a Construction Contractor Agreement for a residential construction project in Canada with this easy-to-use template.
- The contract price for the construction will be paid in installment payments.
- All labour, tools, equipment and materials required for the job will be provided by the contractor.
- The property owner must arrange for water, sewer, electrical, natural gas, and other utility hook-ups required to complete the work.
- The contractor is responsible for carrying adequate liability insurance for the duration of the project.
- This is a fully editable and reusable contract template intended for use only in Canada.
Construction Project Management Agreement | Canada
Hire a project manager for a large development project with this fixed price Construction Project Management Agreement for Canadian developments.
- The project manager will manage and coordinate activities among the various contractors hired on the construction project.
- The project manager will be responsible for obtaining bids and making recommendations with respect to hiring.
- The manager will assist in obtaining the necessary permits for the development.
- The manager must review all contractor safety programs.
- The manager's duties specifically do NOT include control over the practices of the contractors.
- The owner indemnifies the project manager against all claims and losses arising from the performance of its duties.
- Available in MS Word format and fully editable.
- Intended to be used only in Canada.
