Confidentiality and Disclosure Agreement for Business Brokers

Business brokers, protect your leads by having potential buyers sign this standard-form Confidentiality & Agency Disclosure Agreement.

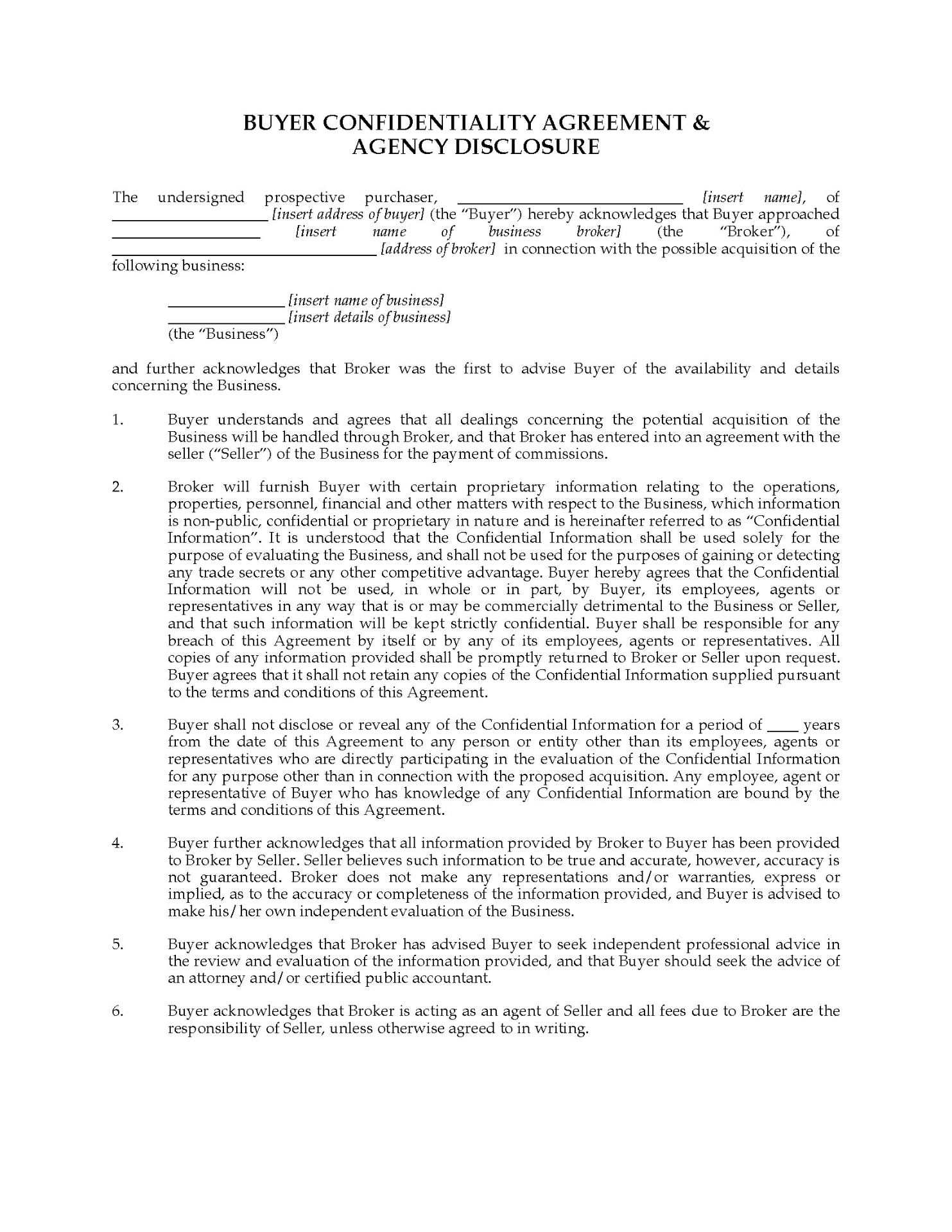
Purpose of Agreement

This Confidentiality & Agency Disclosure Agreement is designed to protect sensitive information and ensure that the broker's role in any transaction is respected.

Terms of Broker-Buyer Relationship

  • Under the terms of this agreement, the buyer commits to conducting all negotiations and dealings exclusively through the broker.
  • The broker, in turn, has a separate agreement with the seller regarding the payment of commissions.
  • This arrangement helps maintain transparency and ensures that the broker is properly compensated for their services.

Confidentiality Obligations

The buyer agrees to keep confidential all information provided about any business they are interested in acquiring. This obligation extends to any details shared during the inquiry or due diligence process, protecting the interests of both the broker and the seller.

Broker’s Acknowledgement, No Warranties

It is important to note that the broker does not offer any warranties regarding the accuracy of the information provided about the business. The buyer acknowledges that the broker is acting as the seller’s agent and should verify any details independently as part of their due diligence.

Payment of Commission

If the buyer discloses confidential information to a third party, and that third party subsequently purchases the business without going through the broker, the buyer is responsible for paying the commissions that would have been owed on the sale price. This clause ensures that the broker's interests are protected, even if the sale occurs indirectly.

Template Availability and Use

This agreement template is available for download as a fully editable Microsoft Word document. It is a generic form designed to be applicable in a wide range of jurisdictions, making it a versatile tool for business brokers.

Document Type: Microsoft Word
Last Updated: 05-November-2025
SKU: 6585
$7.99
Customers who bought this item also bought

Broker Contract for Sale of Business

Prepare an Agreement for Sale of Business between a business broker and a client with this fully editable template.

  • The broker will list the business for sale, identify potential buyers and act on behalf of the seller to complete a sale.
  • The broker's commission rate will be calculated as a percentage of the sale price or a minimum fixed rate, whichever is more.
  • The seller grants the broker a lien over the business assets until the commission is paid in full.
  • The parties agree to arbitration in the event of a dispute.
  • This template includes a confidentiality agreement which potential buyers must sign before reviewing confidential business information of the seller.
  • Available in MS Word format, easy to use and customize.
  • This is a generic form that can be used in many jurisdictions.
$29.99